萤石结构碱土金属氟化物晶体(MF2,M=Ca、Sr、Ba)是一类具有战略价值的功能材料,凭借从深紫外到红外的超宽光谱高透过率、超低色散效应等特性,被广泛应用于光刻系统光学窗口、激光基质晶体、光谱仪核心元件等高端领域,其离子导电性也使其在固态电解质等能源器件中极具应用潜力。但这类材料固有的极端力学各向异性,尤其是 {111} 晶面的极易解理特性,导致其在晶体生长、加工制造和极端工况服役中易发生开裂失效,严重限制了器件性能与使用寿命,而其背后的原子尺度变形机制此前一直未能得到系统阐明。
针对上述问题,中国科学院上海硅酸盐研究所苏良碧研究员团队通过理论计算揭示了萤石结构碱土金属氟化物晶体脆性的各向异性与初始塑性变形的微观机制,建立了基于滑移面原子键合的解理-滑移竞争统一理论框架,揭示了长期困扰这类光学材料在工程应用中的脆性失效机理难题。相关成果以“Deciphering the origins of anisotropic brittleness and incipient plasticity in fluorite-structured MF2 (M = Ca, Sr, Ba): A first-principles study of bonding-controlled cleavage-slip competition”为题,发表于Acta Materialia 309, 122141(2026)。论文第一作者是上海硅酸盐所博士后郭书款,通讯作者为苏良碧研究员。
该研究首次从能量竞争的角度,量化揭示了萤石结构晶体“脆性-塑性”的各向异性本质。通过系统的计算发现,萤石晶体 {111} 晶面的极端解理倾向,源于该晶面同时具备最低的拉伸强度、声子不稳定性限制的临界应变阈值,以及全晶面中最低的解理能。与此同时,剪切变形过程中同号离子的强静电斥力,导致该晶面滑移能垒急剧升高,解理能与滑移能垒的比值接近1.0,使得解理与滑移的能量成本几乎完全等价,最终造成了材料的极端脆性。
与之相对,该研究首次明确了 {001}<110 >作为碱土氟化物晶体主导滑移系的微观机制。该滑移系不仅具有最低的剪切强度,更因阴离子的显著弛豫效应具有最低的广义层错能,其解理能与滑移能垒的比值超过 3.8,意味着位错主导的塑性变形在能量上远优于解理断裂,解释了实验中观测到的{001}<110 >全位错行为。
更具普适意义的是,该研究建立基于不同滑移面的EC/Γ能量判据框架,可直接推广至UO2、CeO2、ZrO2等其它萤石结构材料体系,实现了从 “经验解释” 到 “定量预测” 的转变,为这类材料的力学性能优化提供了明确的设计路径。 例如通过构建 {001} 晶面择优织构、精准掺杂调控键合特性等方式,显著提升材料的抗断裂能力与服役可靠性。
这项研究成果建立了萤石结构晶体不同晶面原子尺度键合特性与宏观力学响应之间的联系,为高端光学装备、新能源系统等领域关键材料的性能升级提供了核心理论支撑,也为其他脆性功能晶体的变形机制研究与性能优化提供了新的研究思路。
以上研究得到了国家自然科学基金、中国科学院稳定支持基础研究领域青年团队计划、中国博士后科学基金等项目的资助与支持。
论文链接:
https://pubs.rsc.org/en/content/articlelanding/2025/ce/d5ce00508f
https://doi.org/10.1016/j.actamat.2026.122141

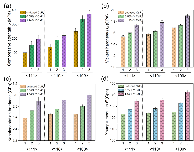
图1、 CaF2晶体压缩强度、硬度和杨氏模量的各向异性

图2、 CaF2晶体力学各向异性及滑移面F离子重构降低(100)面的滑移能垒

当前位置:
